近期,自拍流出
祝斌与刘学文老师提出一种能够解释缪子反常磁矩、质子半径之谜和轻质量暗物质生成的新机制。该成果以《Probing the flavor-specific scalar mediator for the muon (g-2) deviation, the proton radius puzzle and the light dark matter production》为题正式发表在权威自然科学综合性学术刊物《中国科学:物理学力学天文学》英文版(SCIENCE CHINA Physics, Mechanics & Astronomy, SCPMA)。
粒子物理标准模型(standardmodel)建立于上世纪70年代,它是目前为止人类认识自然界最深层次物理规律的最成功的理论。然而,标准模型依然存在局限性,它不能解释多种理论和实验现象学方面的问题。为此,寻找超出标准模型之外的新物理便成了高能物理领域中最热门的前沿课题。在全球范围内,科学家正如火如荼地在各类高能物理实验中探索新物理的蛛丝马迹,世界科技大国也都在积极部署这方面的理论研究和实验探测。
最近,美国费米实验室的E989实验以极高的精度测量了缪轻子的反常磁矩(Muon g-2),研究人员发现实验数据与标准模型理论预言值存在4.2个标准偏差(注:通常5个标准偏差被视为确定的实验发现)。这一结果引起了国际物理学界的广泛关注,为寻找新物理增加了信心。除此之外,多年来在一系列测量缪子型类氢原子(Muonic hydrogen)的实验中,人们发现质子电荷半径与电子-质子散射等实验的测量结果有着显著偏差,即著名的质子半径之谜。以上两个实验反常现象同时涉及到了缪轻子,这是巧合还是蕴含着更深层次的新物理,给予了我们强烈的理论研究动机!
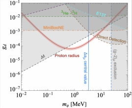
祝斌和刘学文老师综合分析了以上两方面的实验数据,提出了基于5维算符的特定味道标量模型(flavor-specific scalar model)。研究发现,质量为MeV量级的标量粒子通过同时与缪轻子和下夸克耦合可以成功的解释缪子g-2异常和质子半径之谜(见左图中红色与蓝色带子交汇处,右图的白色区域)。与此同时,作者综合考虑了其他现有实验数据对新物理模型的约束。他们发现来自超新星(SN1987A)的约束极其严格,但当考虑到天文观测的不确定性,此理论框架可以避免此限制(见左图橙色和灰色参数空间排除区)。此外本文还研究了模型中存在的轻暗物质的产生机制,并发现早期运动学平衡退耦对暗物质遗迹密度会产生至少10%的影响。最后,他们在文章中指出在不久的将来NA62等高精度探测实验可以实现对该理论机制的检验,这将对新物理研究具有重要指导意义。


图:解释缪子g-2异常和质子半径之谜的参数空间及各类实验限制。
该论文获得了评审专家的高度评价,已正式在线发表于SCPMA期刊。此项研究得到了国家自然科学基金、山东省自然科学基金、山东省高等教育科技计划项目的支持。文章链接://doi.org/10.1007/s11433-021-1819-5。
注:SCIENCE CHINA Physics, Mechanics & Astronomy (SCPMA,英文版)是中国科学院主管、中国科学院和国家自然科学基金委员会共同主办的综合性学术刊物。英文版SCPMA被SCI、EI、ADS等数据库收录, 2020年影响因子为5.122, Q1区,中国科学院文献情报中心期刊分区表物理大类1区Top、物理综合类1区。
审核人:郭冬梅 责任编辑:高兴龙